Ответы
Ответ дал:
0
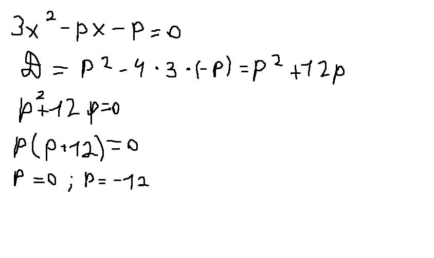
один корень, если дискриминант равен нулю




приравниваем каждый множитель к нулю
и
а следовательно и 
ответ 0, -12
приравниваем каждый множитель к нулю
ответ 0, -12
Ответ дал:
0
=0 т.к уравнение имеет 1 корень, когда дискриминант = 0
Приложения:
Вас заинтересует
3 года назад
8 лет назад
8 лет назад
11 лет назад