• Предмет: Алгебра
  • Автор: gdaasdfhh
  • Вопрос задан 8 лет назад

Помогите пожалуйста !

Приложения:

Ответы

Ответ дал: jkbts97
0

Ответ:

Надеюсь помогла

Можно лучший ответ

Приложения:
Ответ дал: Natasha344
0

Ответ:

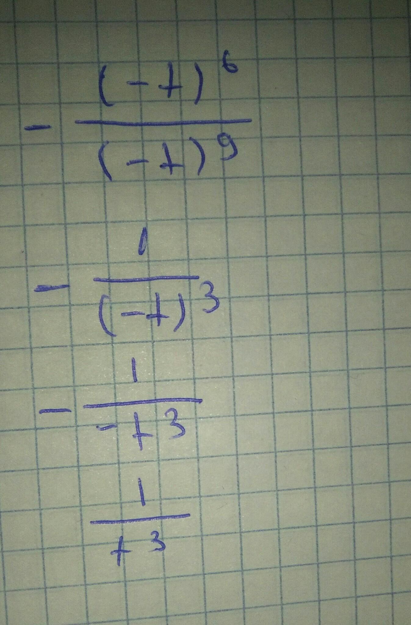
1 / (t ^ 3)

Объяснение:

(-t)^6 = t^6, так как степень четная.

(-t)^9 = -t^9, так как степень нечетная.

Получается, дробь (-t)^6/(-t)^9 = - 1/t^3

- ((-t)^6/(-t)^9) = 1/t^3

Вас заинтересует