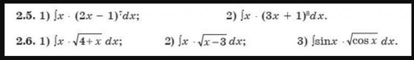
Решить пример на тему "Интеграл степенной функции с действительным показателем и показательной функции"" и прикрепить
Приложения:

Ответы
Ответ дал:
1
Ответ:
Пошаговое объяснение:
Все задачи решаются по частям.
Только последняя заменой.
Все решения на рисунках
Приложения:





Вас заинтересует
2 года назад
2 года назад
8 лет назад
8 лет назад