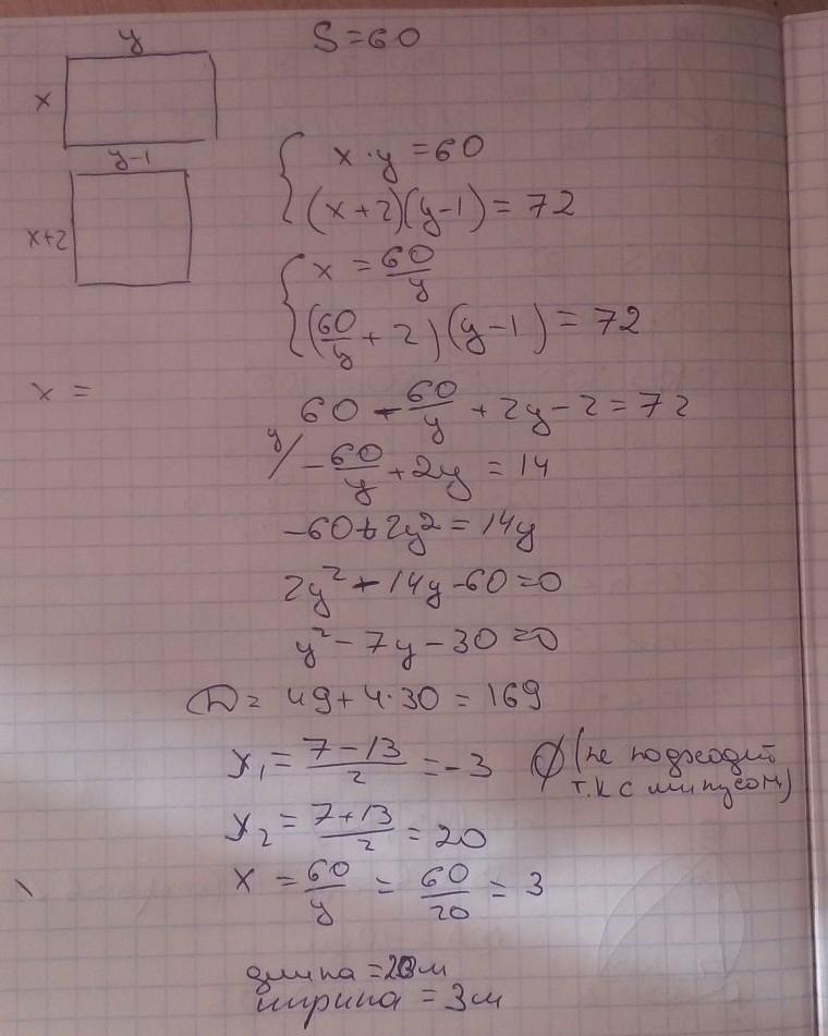
Площадь земельного участка прямоугольной формы равна 60м2.Если длину этого участка уменьшить на 1м,а ширину увеличить на 2м,то получим участок площадью 72м2.Найти длину ограждения начального участка
Ответы
Ответ дал:
0
просто решаешь системой где у - это длина, а х - это ширина
ответ 3м и 20м
Приложения:

Вас заинтересует
3 года назад
8 лет назад
9 лет назад