• Предмет: Математика
  • Автор: Аноним
  • Вопрос задан 8 лет назад

ничего непонятно написано. какие-то системы. нельзя просто решить и написать ОДЗ? Вот почему здесь ответ именно -2, а не 3? Почему пишут сначала -x>0, а потом x<0, как это определять и знать, когда x больше или меньше нуля​

Приложения:

mmb1: -x > 0
переносим переменную впрао с противоположным знаком и ойляля
0 > x
никаких умножений на -1

Ответы

Ответ дал: NNNLLL54
2

Ответ:

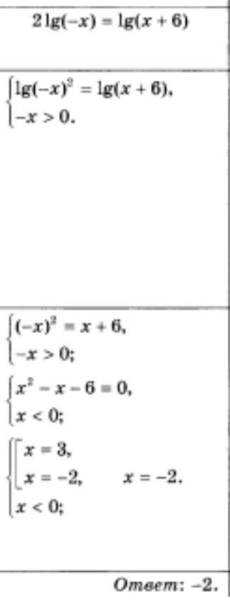
2\, lg(-x)=lg(x+6)

Решение можно писать в виде системы или по отдельности писать ОДЗ и решение с учётом ОДЗ .

Кстати, в этом решении не учтено ОДЗ для  логарифма из правой части . Поэтому решение здесь имеет недочёт .

Итак, мы ЗНАЕМ (!) , что аргумент логарифма строго больше 0, поэтому в ОДЗ входят два неравенства:  

\left\{\begin{array}{l}-x&gt;0\\x+6&gt;0\end{array}\right    При умножении 1 неравенства на (-1), чтобы получить чистый "х" , знак неравенства меняется на противоположный, поэтому

\left\{\begin{array}{l}-x&gt;0\ |\cdot (-1)\\x+6&gt;0\end{array}\right\ \ \left\{\begin{array}{l}x&lt;0\\x&gt;-6\end{array}\right\ \ \ \ \Rightarrow \ \ \ ODZ:\ \boxed {\ -6&lt;x&lt;0\ }

Теперь пользуемся свойством логарифма:   k\cdot log_{a}x=log_{a}x^{k}  ,  поэтому

lg(-x)^2=lg(x+6)  .

Но   (-x)^2=\Big((-1)\cdot x\Big)^2=(-1)^2\cdot x^2=+1\cdot x^2=x^2  ,  значит уравнение

примет вид:   lg(x^2)=lg(x+6)  .

Если равны логарифмы, то равны и их аргументы, то есть имеем

x^2=x+6\ \ \ \Rightarrow \ \ \ x^2-x-6=0\ \ ,\ \ D=1+4\cdot 6=25\ \ ,\\\\x_1=\dfrac{1-5}{2}=-2\ \ ,\ \ x_2=\dfrac{1+5}{2}=3

Получили два значения переменной "х". Но только одно значение входит в ОДЗ, а именно   -6&lt;(-2)&lt;0  ,  -2 ∈ (-6;0) .Число  "3" в этот промежуток не входит:  3 ∉ (-6:0) .

Ответ:  х= -2 .

P.S.  Ещё объясню по другому, почему из  -x&gt;0   следует   x&lt;0  .

Если рассматривать  (-х) как произведение  (-1) на "х" , то становиться понятно, что (-1) надо умножить на отрицательное выражение, чтобы в результате получить положительное, так как "минус, умноженный на минус даёт плюс" .

Приложения:

Аноним: надо еще подумать...а вот в какой промежуток 3 не входит? немного не понимаю
Аноним: ааа поняла
Аноним: x<0, поэтому 3 не может быть
NNNLLL54: в промежуток ОДЗ , а это (-6:0) , этот промежуток в рамочке написан
Аноним: спасибо большое
Аноним: Здравствуйте! Не посмотрите https://znanija.com/task/45016140 Срочно. 9 кл. Завтра экзамен.
Аноним: а вот там, где вы написали "но" -1 это вы просто взяли из головы или откуда?
Аноним: мне больше некому помочь...
Аноним: а репетитор дорого
Аноним: Посмотрите комментарий к Вашему вопросу. И внимательно читайте решение. Там написано: "чтобы получить "чистый" х...". Т.е. -х>0, а нам нужен не (-х), а просто х.
Вас заинтересует