• Предмет: Алгебра
  • Автор: polinahrom
  • Вопрос задан 8 лет назад

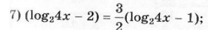
Помогите, пожалуйста, решить уравнение

Приложения:

Ответы

Ответ дал: BlackGangster
1

Ответ:

Смотри фото

Объяснение:

Приложения:
Ответ дал: Universalka
2

ОДЗ : x > 0

(\log_{2}4x-2)=\frac{3}{2}(\log_{2} 4x-1)|\cdot2\\\\2(\log_{2}4x-2)=3(\log_{2} 4x-1)\\\\2\log_{2} 4x-4=3\log_{2} 4x-3\\\\3\log_{2} 4x-2\log_{2} 4x=-4+3\\\\\log_{2} 4x=-1\\\\4x=2^{-1} \\\\4x=0,5\\\\\boxed{x=0,125}

Вас заинтересует