Ответы
Ответ дал:
1
Ответ:
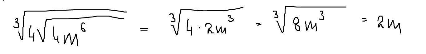
2m
Объяснение:
..................................
Приложения:

Вас заинтересует
2 года назад
3 года назад
3 года назад
8 лет назад
8 лет назад
9 лет назад