• Предмет: Математика
  • Автор: dipseydipsey
  • Вопрос задан 8 лет назад

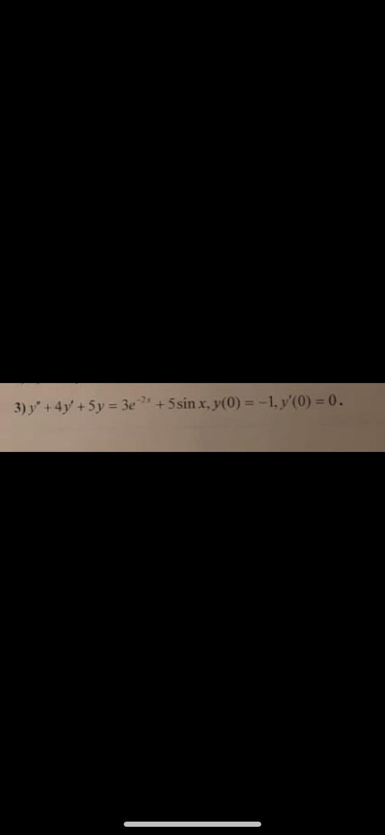
28 баллов. решить дифференциальное уравнение

Приложения:

Ответы

Ответ дал: Miroslava227
1

Ответ:

y'' + 4y '+ 5y = 3 {e}^{ - 2x}  + 5 \sin(x)

1. ОЛДУ:

y'' + 4y' + 5y = 0 \\  \\ y =  {e}^{kx}  \\  \\ k {}^{2} + 4 k + 5 = 0 \\ D = 16 - 20 =  - 4\\ k_1 =  \frac{ - 4 + 2i}{2} =  - 2 + i \\  k_2 =  - 2 - i \\  \\ y = e {}^{ - 2x}( C_1 \sin(x)  + C_2 \cos(x) )

2. Подбираем у с неопределенными коэффициентми

у = ae {}^{ - 2x}  + b \sin(x)  + c \cos(x)

у' =  - 2ae {}^{ - 2x}  + b \cos(x)  - c \sin(x) \\

у''= 4ae {}^{ - 2x}  - b \sin(x)  - c \cos(x)

В НЛДУ:

4ae {}^{ - 2x}  -  b\sin(x)  - c \cos(x)  - 8ae {}^{ - 2x}  + 4b \cos(x)  - 4c \sin(x)  +  \\  + 5ae {}^{ - 2x}  + 5b \sin(x)  + 5c \cos(x)  = 3 {e}^{ - 2x}  + 5 \sin(x)  \\  \\ ae {}^{ - 2x}  + (4b - 4c) \sin(x)  + (4c + 4b) \cos(x)  = 3 {e}^{ - 2x}  + 5 \sin(x)  \\  \\ a = 3 \\4 b - 4c  = 5\\4 c + 4b = 0 \\  \\ a = 3 \\ b =  \frac{1}{8}  \\ c =  -  \frac{1}{8}

Получаем

у = 3 {e}^{ - 2x}  +  \frac{1}{8} \sin(x)   -  \frac{1}{8}  \cos(x) \\

Общее решение:

y =  {e}^{ - 2x} (C_1 \sin(x)  + C_2 \cos(x) ) + 3 {e}^{ - 2x}  +  \frac{1}{8} \sin(x)   -  \frac{1}{8}  \cos(x)  \\

y(0) =  - 1,y'(0) = 0

y '=  - 2 {e}^{ - 2x} (C_1 \sin(x)  + C_2 \cos(x) ) +  {e}^{ - 2x}( C_1 \cos(x)  - C_2 \sin(x) ) - \\  -  6 {e}^{ - 2x}  +  \frac{1}{8}  \cos(x)  +  \frac{1}{8}  \sin(x)  =  \\  \\  =  {e}^{ - 2x} (( - 2C_1 - C_2) \sin(x)  + ( - 2C_2 + C_1) \cos(x))  - 6 {e}^{ - 2x}  +  \frac{1}{8}  \cos(x)  +  \frac{1}{8}  \sin(x)

 - 1 = C_2 + 3 -  \frac{1}{8 }  \\ 0 = C_1 - 2C_2 - 6 +  \frac{1}{8}  \\  \\ C_2 =  - 4 +  \frac{1}{8}  =  -  \frac{31}{8}  \\ C_1 =  -  \frac{15}{8}

Частное решение

y =  {e}^{ - 2x} ( -  \frac{15}{8}  \sin(x)  -  \frac{31}{8}  \cos(x) ) + 3 {e}^{ - 2x}  +  \frac{1}{8} \sin(x)   -  \frac{1}{8}  \cos(x)  \\

y =  -  {e}^{ - 2x} ( \frac{15}{8}  \sin(x)  +  \frac{31}{8}  \cos(x) ) + 3 {e}^{ - 2x}  +  \frac{1}{8}  \sin(x)  -  \frac{1}{ 8}  \cos(x)  \\

Вас заинтересует