• Предмет: Математика
  • Автор: vikadombrovskay24
  • Вопрос задан 8 лет назад

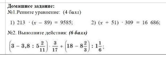
ПОМАГИТЕ ПЖ СРАЗУ РЕШИТЬ 1 И 2 ДОЮ 30 БАЛЛОВ!!!!!!​

Приложения:

Ответы

Ответ дал: albina345p
0

Ответ:

8\frac{2}{5}

Пошаговое объяснение:

1) 213х-18957=9585

213х=9585+18957

213х=28542

х=28542/213

х=134

2) 309х+15759=16686

309х=16686-15759

309х=927

х=3

3) 3,8:5 2/11=38/10:57/11=19/5*11/57=209/285=11/15

3-11/15=2 15/15-11/15=2 4/15

2 4/15*3/17=34/15*3/17=102/255=2/5

18-8 2/3=9 3/3-2/3=9 1/3

9 1/3:1 1/6=28/3:7/6=28/3*6/7=8

2/5+8=8 2/5 или 8,4

Вас заинтересует