• Предмет: Математика
  • Автор: SophiaKosmacheva
  • Вопрос задан 8 лет назад

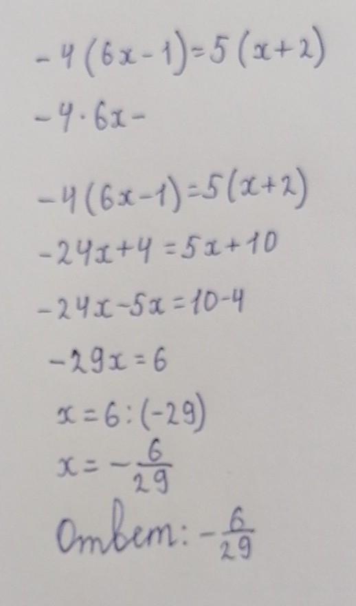
Помогите пожалуйста!! -4(6x-1)=5(x+2)

Ответы

Ответ дал: naromash
2

Ответ:

х=-6/29

Пошаговое объяснение:

-24х+4=5х+10

-29х=6

х=-6/29

Ответ дал: dosmadyar13
1

Ответ:

Вот ответ, удачи тебе.

Приложения:
Вас заинтересует