Ответы
Ответ дал:
1
Ответ:
------------------------
Объяснение:
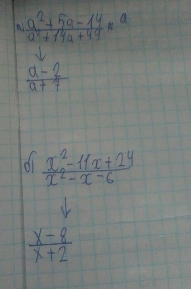
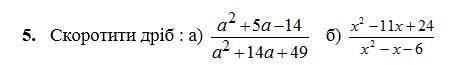
Скороченя дробу
Приложения:

Lofij:
можеж пожалуста зделать найлутша отвер или найкраща відповідь
Вас заинтересует
2 года назад
2 года назад
3 года назад
8 лет назад
8 лет назад
9 лет назад