• Предмет: Алгебра
  • Автор: kolmogorovaanastasia
  • Вопрос задан 8 лет назад

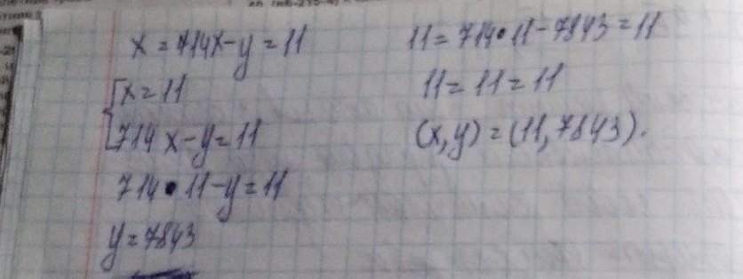
Реши систему:
{x=714x−y=11

Ответ: (
;
).​

Ответы

Ответ дал: kamilaturaeva53t
1

Объяснение: Вот правильный ответ

Приложения:
Вас заинтересует
3 года назад