Найдите общий вид пераообразных F (x) функции f (x)= под корнем 2x-1 на промежутке (0.5 ; +бесконечность)
Ответы
Ответ дал:
0
Пошаговое объяснение:
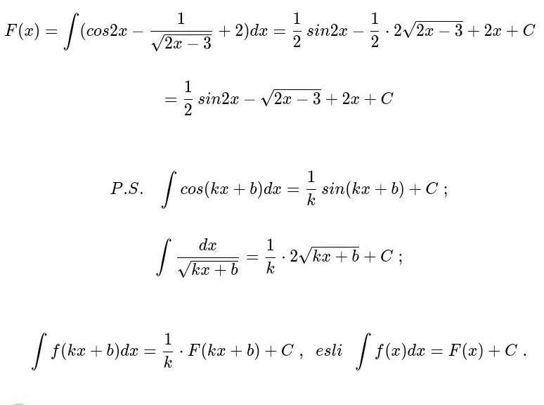
ответь на фото
жду лучшего ответа
Приложения:

Вас заинтересует
2 года назад
3 года назад
3 года назад
8 лет назад
9 лет назад