• Предмет: Математика
  • Автор: anonimusmilashka
  • Вопрос задан 8 лет назад

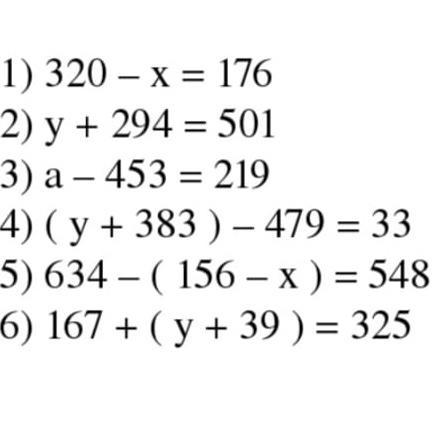
В СТОЛБИК! можете решить и сфоткать на листочке очень надо

Приложения:

Ответы

Ответ дал: neprazinko
1

Ответ:

давай , удачи

Пошаговое объяснение:

тут что-то напишу

Приложения:
Вас заинтересует