• Предмет: Математика
  • Автор: sergey453789
  • Вопрос задан 8 лет назад

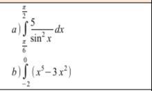
Вычислить определенный интегралы методом непосредственного интегрирования.30 баллов

Приложения:

Ответы

Ответ дал: Miroslava227
0

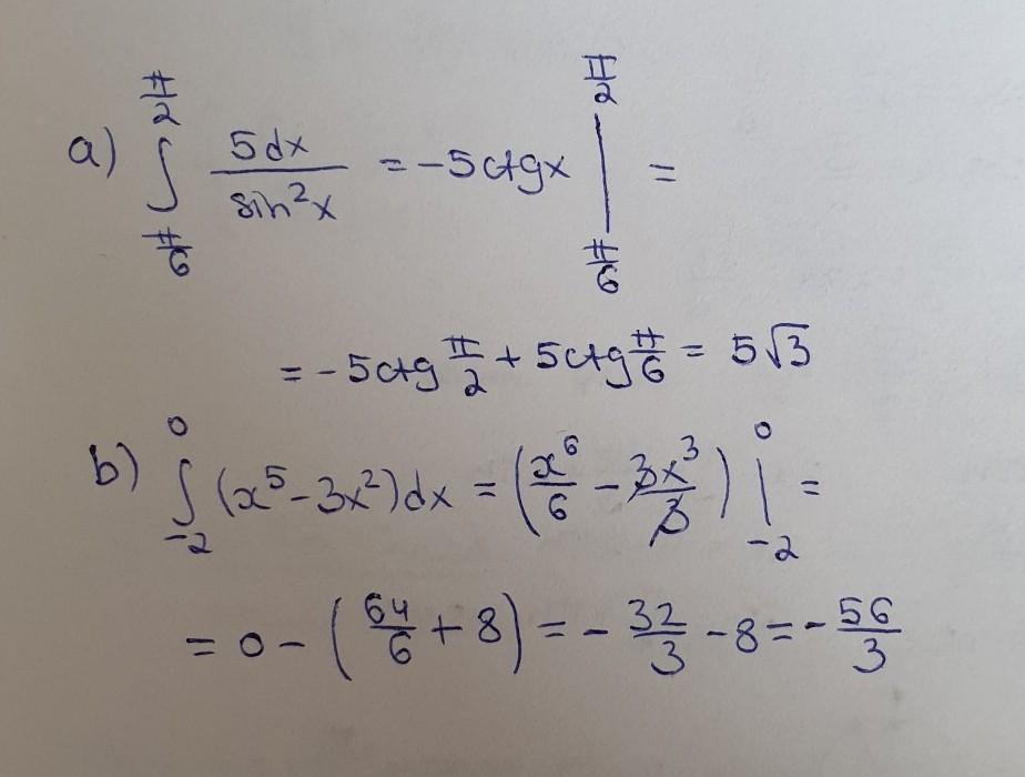
Ответ:

решение на фотографии.

Приложения:
Вас заинтересует