• Предмет: Алгебра
  • Автор: zolnikov
  • Вопрос задан 8 лет назад

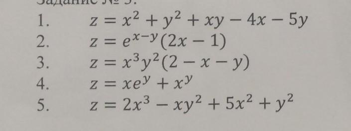
найдите частные производные первого и второго порядка(любые три) ​

Приложения:

Ответы

Ответ дал: Miroslava227
1

Ответ:

1.

z =  {x}^{2}  +  {y}^{2}  + xy - 4x - 5y

z'_x = 2x + y - 4

z'_y = 2y + x - 5

z''_{xx} = 2

z''_{yy} = 2

z''_{xy} = 1

3.

z =  {x}^{3}  {y}^{2} (2 - x - y) =  \\  = 2 {x}^{3}  {y}^{2}  -  {x}^{4}  {y}^{2}  -  {x}^{3}  {y}^{3}

z'_x = 6 {x}^{2}  {y}^{2}  - 4 {x}^{3}  {y}^{2}  - 3 {x}^{2}  {y}^{3}

z'_y = 4 {x}^{3} y - 2 {x}^{4} y - 3 {x}^{3}  {y}^{2}

z''_{xx} = 12x {y}^{2}  - 12 {x}^{2}  {y}^{2}  - 6x {y}^{3}

z''_{yy} = 4 {x}^{3}  - 2 {x}^{4}  - 6 {x}^{3}  y

z''_{xy} = 12 {x}^{2}  {y}^{}  - 8 {x}^{3} y - 9 {x}^{2}  {y}^{2}

5.

z = 2 {x}^{3}  - x {y}^{2}  + 5 {x}^{2}  +  {y}^{2}

z'_x = 6 {x}^{2}  -  {y}^{2}  + 10x

z'_y =  - 2xy + 2y

z''_{xx} = 12x + 10

z''_{yy} =  - 2x + 2

z''_{xy} =  - 2y

Вас заинтересует