• Предмет: Алгебра
  • Автор: nataliafedchenko2005
  • Вопрос задан 8 лет назад

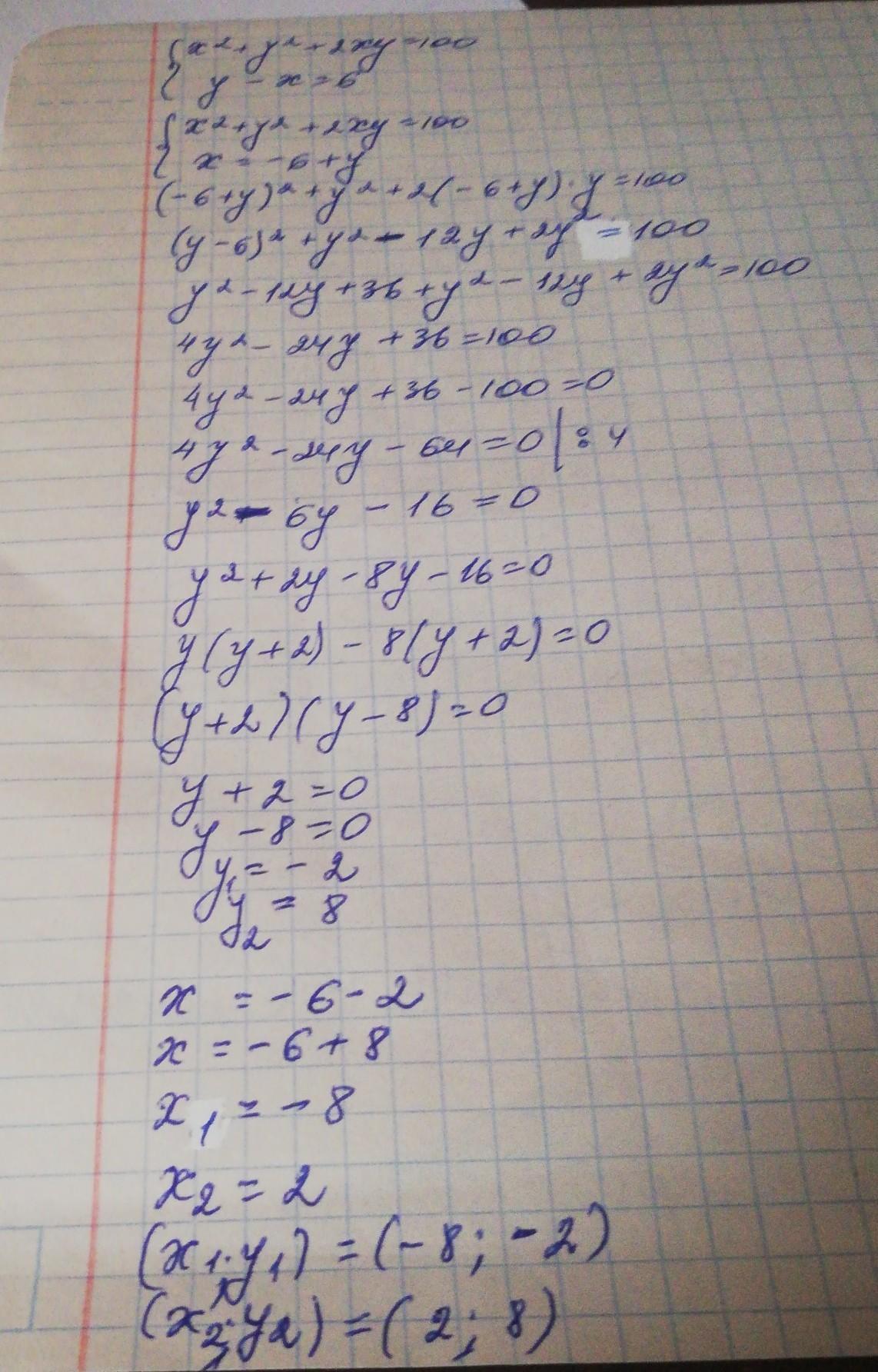
5. (2 б.) Розв'яжіть систему рівнянь

x²+y² + 2xy = 100,

у-х=6. пжжжжжжж. хелп. ​

Ответы

Ответ дал: serovaksusa1
2

Ответ:

Смотри решение на фото

Приложения:
Вас заинтересует