• Предмет: Математика
  • Автор: Аноним
  • Вопрос задан 8 лет назад

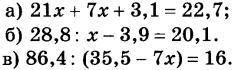
помогите решить уравнения

Приложения:

Ответы

Ответ дал: malikakholmuminova
1

Ответ:

21x + 7x + 3,1 = 22,7

28x = 19,6

x= 19,6 ÷ 28

x = 0,7

28,8 ÷ x - 3,9 = 20,1

28,8 ÷ x = 24

x = 28,8 ÷ 24

x =1,2

86,4 ÷ (35,5 - 7x ) = 16

35,5 - 7x= 5,4

7x = 30,1

x = 4,3

Пошаговое объяснение:

Вас заинтересует