• Предмет: Математика
  • Автор: RipVip
  • Вопрос задан 8 лет назад

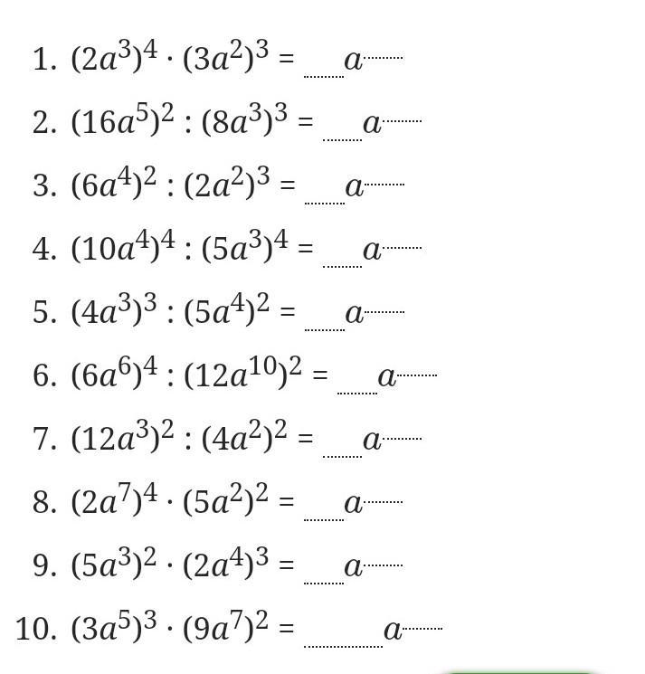
пожалуйста помогите с матешой

Приложения:

Ответы

Ответ дал: lusidiklusidik
1

Ответ:

Пошаговое объяснение:

Приложения:

RipVip: можно еще после 5 задания
RipVip: пожалуйста
Вас заинтересует