Ответы
Ответ дал:
0
Ответ:
Объяснение:
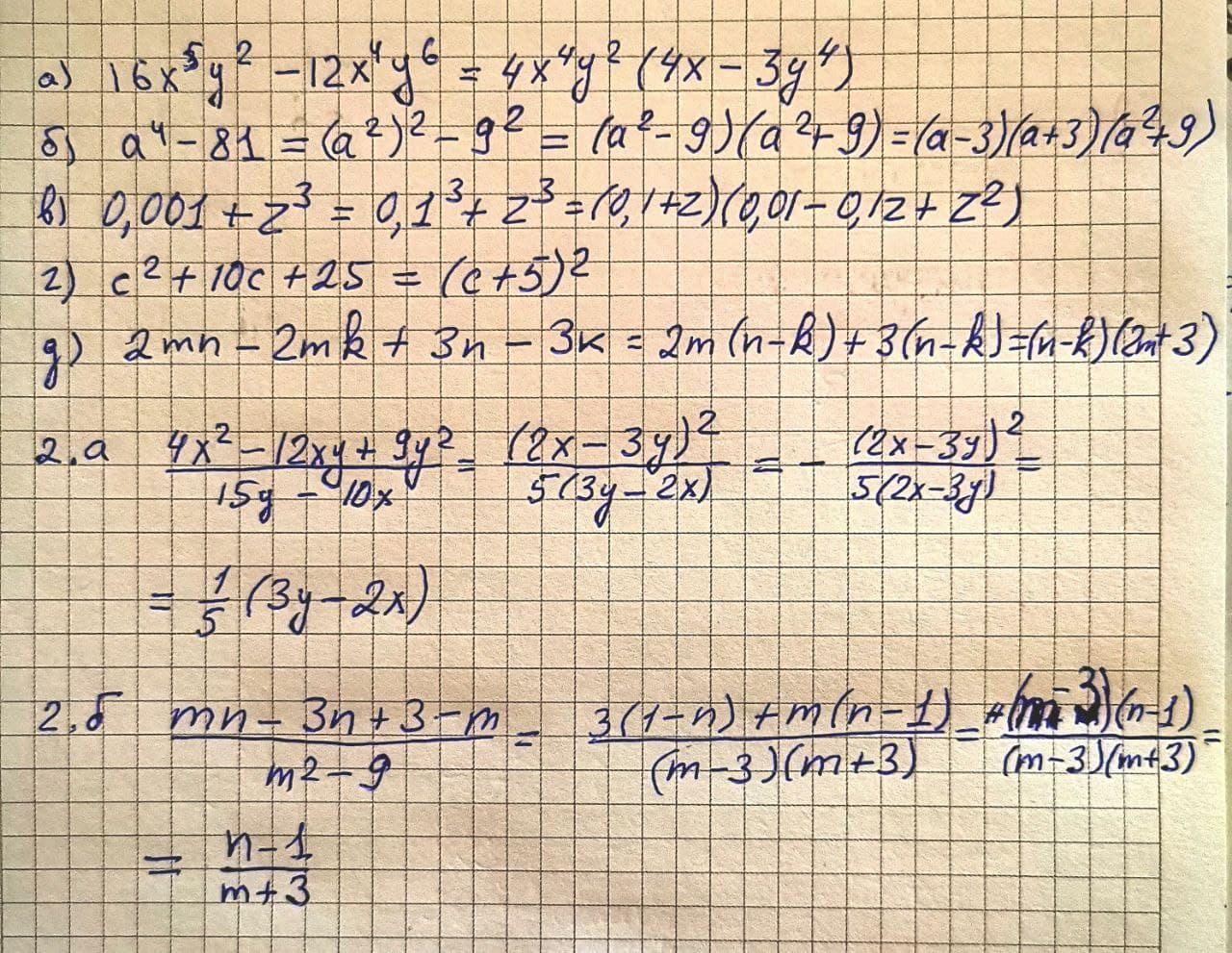
(В первом уравнении возможно не разобрал на вашей картинке степень х в первом члене, я ее счел за 5, но может быть там 3. Тогда ответ 4x^2y^2*(4x^3-y^4)= (2xy)^2*(4x^3-y^4)
Приложения:

Вас заинтересует
2 года назад
3 года назад
3 года назад
8 лет назад
9 лет назад