Ответы
Ответ дал:
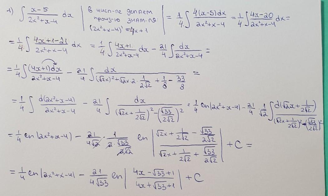
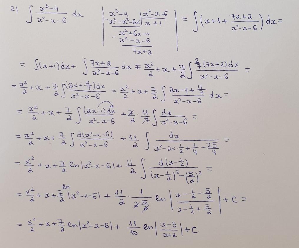
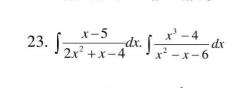
1
Ответ:
решение на фотографиях
Приложения:


Вас заинтересует
2 года назад
2 года назад
3 года назад