• Предмет: Математика
  • Автор: Rsus2000
  • Вопрос задан 8 лет назад

1. Приведите подобные слагаемые:
а) 8в + 12а −21в + а;
б) 9а + 17в−30а + 4в:
в) 11с + 29р −45с + 5р.
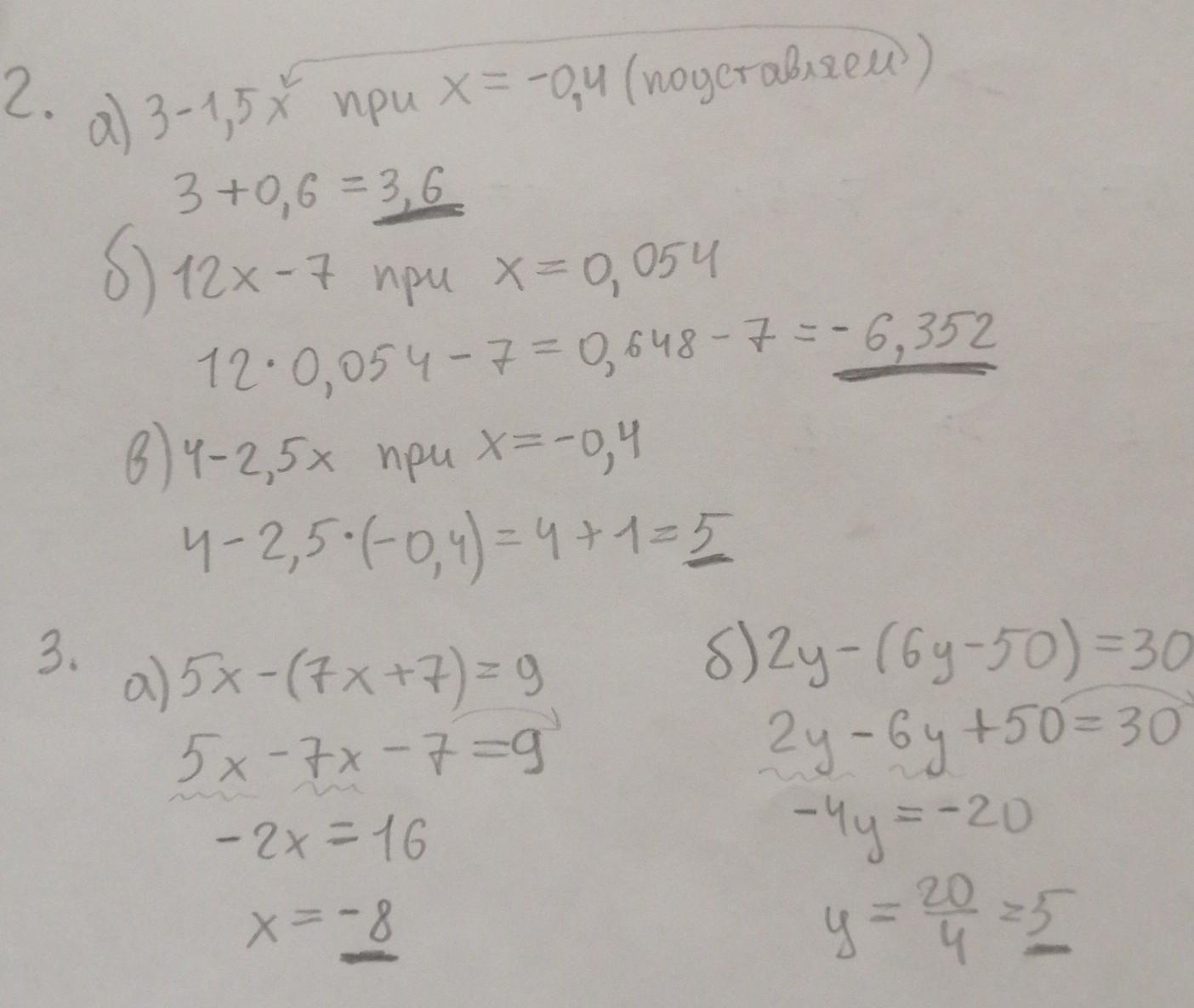
2. Найдите значение выражения:
а) 3 −1,5х при х = −0.4;
б) 12х −7 при х = 0,054
в) 4 −2,5х при х = −0,4.
3. Решите уравнение:
а) 5х −(7х + 7) = 9;
б) 2у −(6у −50) = 30;
в) 7х −(х + 3) = 27.
4. Найдите значение выражения:
а) 3,8 · 5,16 −3,8 · 4,16;
б) 38 · 150 −38 ·50;
в) 315 · 961 + 315 · 39.
5. Упростите выражения:
а) 5(8 −с) + 11с;
б) 7р −2(3р −1);
в) 8а −4(3а + 2).
6. Сравните значения выражения:
а) 2х + 5 и 4х − 1 при х = −1,5;
б) 3 −3х и 2х − 5 при х = −7;
в) 5 −2х и 7 − 6х при х = 1,5.
7. Упростите выражения:
а) 2х −3у −11х + 18у;
б) 5а + 7в −2а −8в;
в) 8х −13у −12х + 7у.
8. Решите уравнение:
а) (х −1)(х −7) = 0;
б) (х + 2)(х −9) = 0;
в) х(х + 3)(х −4) = 0.
9. Найдите значение выражения:
а) 4 · 5,12 · 25;
б) 2,5 · 6,12 · 0,4;
в) 1,25 · 43,2 · 0,8.
10. Приведите подобные слагаемые:
а) −3,6х −5,2 −2,4х −9;
б) −6,7а + 5в −0,8а −2,5в;
в) −3,8у + 2х + 8у −4,3у.
11. Найдите значение выражения:
а) − 6х − 10 при х = − 2,6;
б) 8х − 2,8 при х = 0,2;
в) − 3,5х + 6,5 при х = − 2.
12. Упростите выражение:
а) − 4,5а · 7в;
б) 6,5в · ( −5с);
в) − 0,25а · (− 4в).

Ответы

Ответ дал: godick
1

Ответ:

а) 8в + 12а −21в + а=13а-13в

б) 9а + 17в−30а + 4в=-21а+21в

в) 11с + 29р −45с + 5р=-34с+34р

Ответ дал: rakitina04
1

Надеюсь почерк понятен

Приложения:

rakitina04: сейчас ещё дальше решу и отправлю
rakitina04: короче я сидела не всё, но надеюсь немного помогла
Вас заинтересует