• Предмет: Алгебра
  • Автор: DenDrobil
  • Вопрос задан 8 лет назад

Решить методом интервалов

Приложения:

Ответы

Ответ дал: Zombynella
1

Ответ:

В решении.

Объяснение:

Решить неравенство методом интервалов:

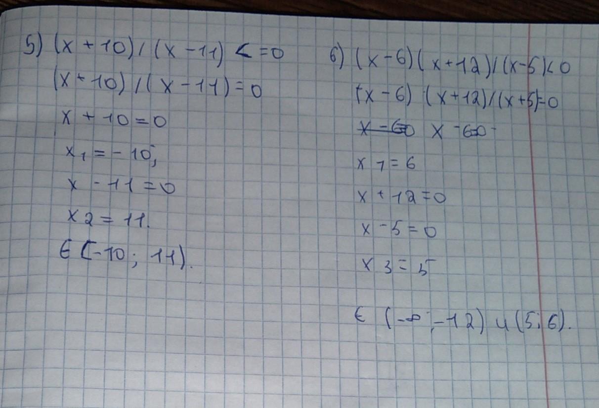
5) (х + 10)/(х - 11) <= 0

Приравнять к нулю и решить уравнение:

(х + 10)/(х - 11) = 0

х + 10 = 0

х₁ = -10;

х - 11 = 0

х₂ = 11;                  

Начертить числовую прямую и отметить на ней схематично вычисленные корни.  

________________________________________________________  

      -∞            +          -10              -                  11             +               +∞

Определить знак самого правого интервала, для этого придать любое значение х больше 11 и подставить в неравенство:  

х = 12;  

(12 + 10)/(12 - 11) = 22/1 > 0, значит, плюс.

Влево знаки меняются через корень.

Обозначить знаки интервалов у числовой прямой.

Неравенство < 0, значит, решениями будут интервалы со знаком минус.

Решение неравенства: х∈[-10; 11).

Неравенство нестрогое, скобка квадратная.  

Значение х = 11 на числовой прямой с незакрашенным кружочком, а в решении под круглой скобкой, так как это корень знаменателя.

6)  (х - 6)(х + 12)/(х - 5) < 0

Приравнять к нулю и решить уравнение:

(х - 6)(х + 12)/(х - 5) = 0

(х - 6)(х + 12) = 0

х - 6 = 0

х₁ = 6;

х + 12 = 0

х₂ = -12;

х - 5 = 0

х₃ = 5;

Начертить числовую прямую и отметить на ней схематично вычисленные корни.  

________________________________________________________  

      -∞            -          -12        +           5          -         6          +             +∞

Определить знак самого правого интервала, для этого придать любое значение х больше 6 и подставить в неравенство:  

х = 10;  

(10 - 6)(10 + 12)/(10 - 5) = 88/5 > 0, значит, плюс.

Влево знаки меняются через корень.

Обозначить знаки интервалов у числовой прямой.

Неравенство < 0, значит, решениями будут интервалы со знаком минус.

Решения неравенства: х∈(-∞; -12)∪(5; 6).

Неравенство строгое, скобки круглые.  


Аноним: спс
Zombynella: ))
Аноним: :)
Ответ дал: Аноним
1

Ответ:

удачи //////////////////

Приложения:
Вас заинтересует