• Предмет: Алгебра
  • Автор: twerk228228
  • Вопрос задан 8 лет назад

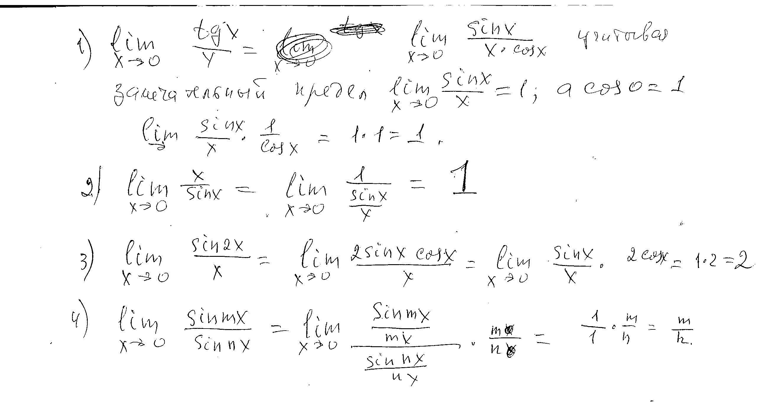
50былов задание на фото​

Приложения:

Universalka: Не 50 былов, а 5 баллов .
tatsach: 50 баллов обман
twerk228228: клоуны посмотрите другое задание здесь я забыл балы поменять
tatsach: За такое обращение и обман
вообще никто решать не будет
twerk228228: по вашему как я должен был оьрашаться на подобные обвинения?
twerk228228: о господин ищвините меня
twerk228228: ахахха посмотри какие задания ты решаешь)Ты бы полюбому не смог)

Ответы

Ответ дал: ужнеужели
0

Ответ:

Объяснение:

во вложении

Приложения:
Вас заинтересует