• Предмет: Математика
  • Автор: reloden555
  • Вопрос задан 8 лет назад

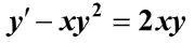
Найти общее решение дифференциального уравнения

Приложения:

Ответы

Ответ дал: dobra888
1

Ответ:     y / (y + 2 ) = C e^x² .

Пошаговое объяснение:

y' - xy² = 2xy ;

y' = xy( y + 2 ) ;

dy/dx = xy( y + 2 ) ;

dy/y( y + 2 ) = x dx ;   інтегруємо :

∫ dy/y( y + 2 ) = ∫ x dx ;

∫ ( 1/2 *  1 /у - 1/2 * 1 /( у + 2 )dу = ∫ x dx ;

1/2 ∫ [ 1 /у -  1 /( у + 2 )]dу = ∫ x dx ;

∫ [1 /у -  1 /( у + 2 )] dу = 2∫ x dx ;

ln| y | - ln| y + 2 | = 2 * x²/2 + ln| C |;

ln| y | /| y + 2 | = ln | C | + x² ;

ln| y | /| y + 2 | = ln | C | e^x²;

y / (y + 2 ) = C e^x² .

Вас заинтересует