Даю 50 баллов, помогите пожалуйста Геометрия

Ответы
Ответ:
Красивая задача, спасибо!
Объяснение:
во вложении


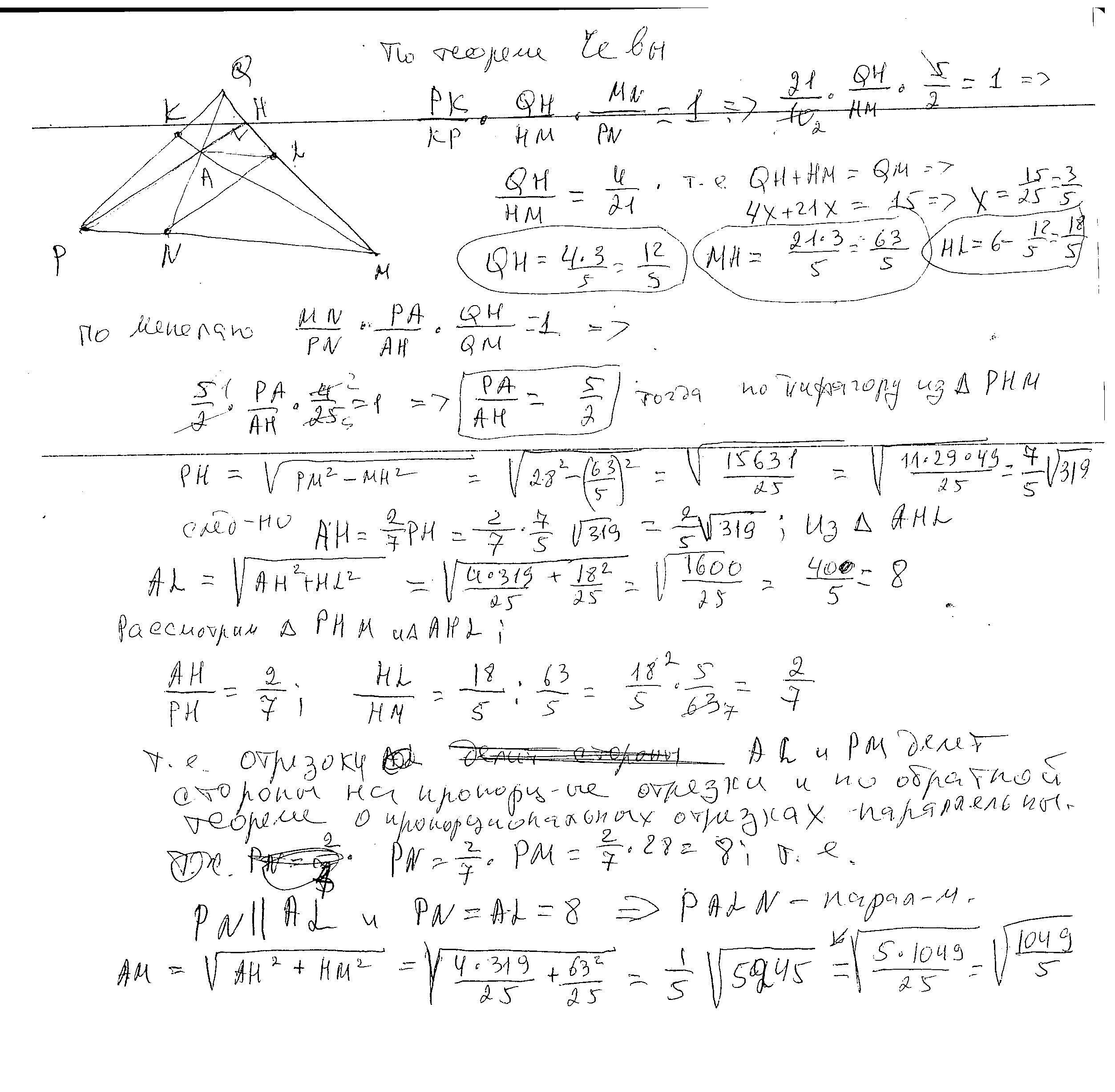
На сторонах PQ, QM и PM треугольника PQM взяты соответственно точки К, L и N, при этом РК: KQ=21:10, QL:LM=2:3, PM:NM=2:5. Отрезки MK и NQ пересекаются в точке А.
а) Докажите, что PALN – параллелограмм.
б) Найдите АМ, если QM=15, РМ=28 и прямая РА перпендикулярна QM.
Вариант решения.
a)
1) По т.Менелая (РК:КQ)•(QА:АN)•(MN:MP)=1
(21:10)•(QА:АN)•(5:7)=1 =>
(QА:АN)=2:3
Из ∆ NQM отношение QA:AN=QL:LM=2:3 ⇒
AL║MN
2) ∆ AQL≈∆ QNM
AL:NM=QL:QM=2:5
PN:NM=2:5 ⇒
AL=PN
Если в четырехугольнике противоположные стороны параллельны и равны, этот четырехугольник - параллелограмм. ⇒
PALN – параллелограмм.
б)
1) QM=QL+LM=2b+3b=5b
5b=15, b=15:5=3 ⇒
LM=3•3=9
2) PM=PN+NM=2c+5c=7c
7c=28, c=28:7=4⇒
MN=4•5=20
PN=4•2=8
∆ РЕМ ≈ ∆ NLM (т.к. NL||РЕ)⇒
PM:NM=EM:LM ⇒ 28:20=EM:9
EM=12,6
EL=ЕМ-LM=12,6-9=3,6
3) AL=PN=8 (т.к. PALN – параллелограмм)
Из прямоугольного ∆ АЕL
по т. Пифагора АЕ²=AL²-EL²=(64-12,96)=51,04
Из прямоугольного ∆ АЕМ
по т.Пифагора АМ=√(АЕ²+ЕМ²)=√(51,04+158,76)=√209,8 ≈14,484 (ед. длины)
