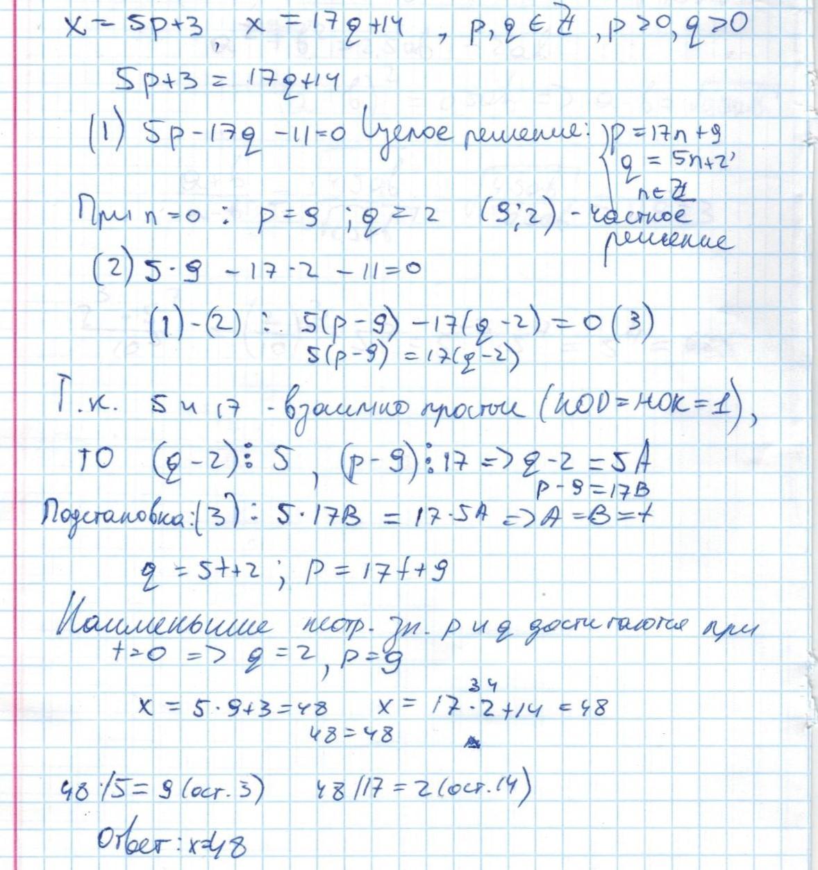
Найдите наименьшее натуральное число x, которое при делении на 5 дает остаток 3, при делении на 17 дает остаток 14.
Ответы
Ответ дал:
1
Ответ:
x=48
Объяснение:
Решение прикреплено фотографией.
Приложения:

Вас заинтересует
3 года назад
3 года назад
8 лет назад
9 лет назад