• Предмет: Математика
  • Автор: Khorshid
  • Вопрос задан 8 лет назад

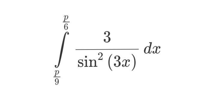
/p/6и p/9 3dx/sin²3x помогите пожалуйста.

Приложения:

Ответы

Ответ дал: pdatskevich5
1

Ответ:

корень3/3

Пошаговое объяснение:

Вас заинтересует