• Предмет: Алгебра
  • Автор: dmelnikova39
  • Вопрос задан 8 лет назад

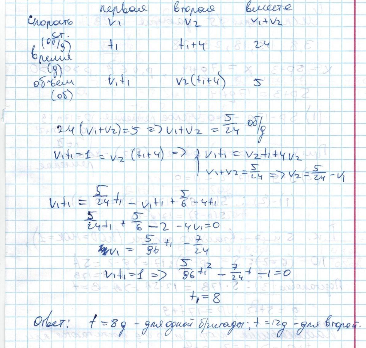
За 24 дня две бригады строителей, работая совместно, сдали в эксплуатацию 5 однотипных объектов. Сколько дней понадобится каждой из бригад на постройку одного такого объекта, если известно, что одна из них может сдать его в эксплуатацию на 4 дня раньше, чем другая?

Ответы

Ответ дал: Gigi1ka
1

Ответ:

8 дней - для одной бригады, 12 - для другой.

Объяснение:

Решение прикреплено фотографией.

Приложения:
Вас заинтересует