• Предмет: Математика
  • Автор: ljalja111
  • Вопрос задан 8 лет назад

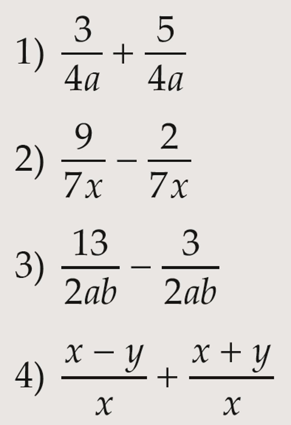
Помогите с решением плиз

Приложения:

Ответы

Ответ дал: ViktoriaPobloki
1

Во всех выражениях знаменатели у дробей одинаковые, просто складываем числители.

1) 3/4а + 5/4а = 8/4а = 2/а

2) 9/7х - 2/7х = 7/7х = 1/х

3) 13/2аb - 3/2аb = 10/2аb = 5/аb

4) (х-у)/х + (х+у)/х = 2х/х = 2

Вас заинтересует