• Предмет: Алгебра
  • Автор: yoratin956
  • Вопрос задан 8 лет назад

Алгебра и геометрия (АЛГЕМ)
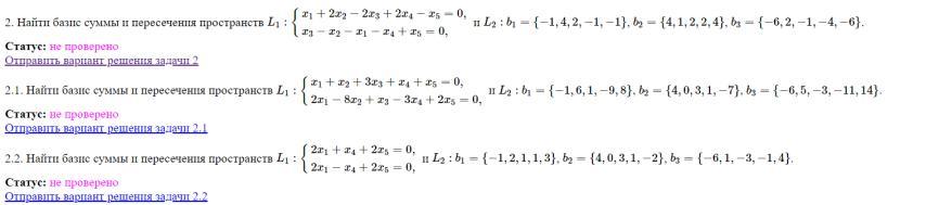
Помогите пожалуйста

Приложения:

Ответы

Ответ дал: montic255
0

Ответ:

2. 254

2.2 4855

2.3 152

Объяснение:


yoratin956: бро, а можешь объяснение написать?
yoratin956: Д0ЛБ0ЁБ НАПИШИ ОБЪЯСНЕНИЕ
Вас заинтересует