Ответы
Ответ дал:
1
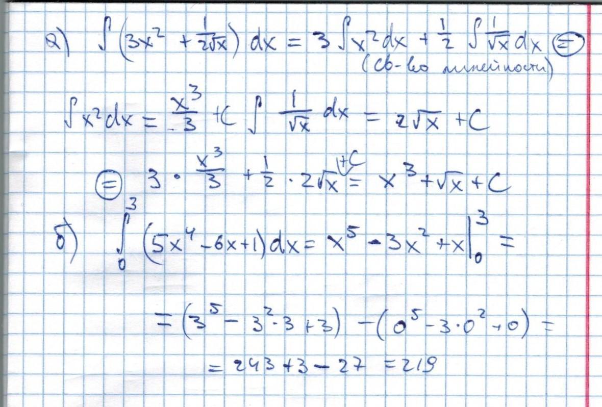
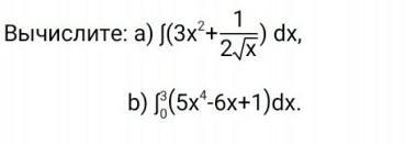
Ответ:
Решение прикреплено фотографией.
Объяснение:
Приложения:

Вас заинтересует
3 года назад
3 года назад
8 лет назад
8 лет назад
9 лет назад