• Предмет: Геометрия
  • Автор: 19vika10vika10
  • Вопрос задан 8 лет назад

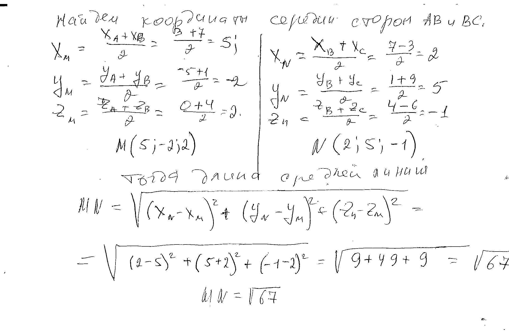
В трикутнику ABC A(3;-5;0),B(7;1;4),C(-3;9;-6).Знайти довжину середньої лінії MN трикутника ABC,де M і N-середини сторін AB і BC відповідно.

Ответы

Ответ дал: ужнеужели
1

Ответ: \sqrt{67}

Объяснение:

во вложении

Приложения:
Ответ дал: xacku2020
4

Ответ:

√67

Объяснение:

MN- средняя линия ⇒ MN||AC , MN=1\2*AC.

AC=√( (-3-3)²+(9+5)²+(-6-0)²)=√(36+196+36)=√(2*4*9+4*49)=

=√4*(18+49)=2√67.

Mn=1\2*2√67=√67

Вас заинтересует