Радиус Луны 25% от радиуса Земли
Найти во сколько раз
1) S площадь земли больше Sплощади Луны
2) V объём Земли больше V объёма Луны
Помогите срочно
Ответы
Ответ дал:
0
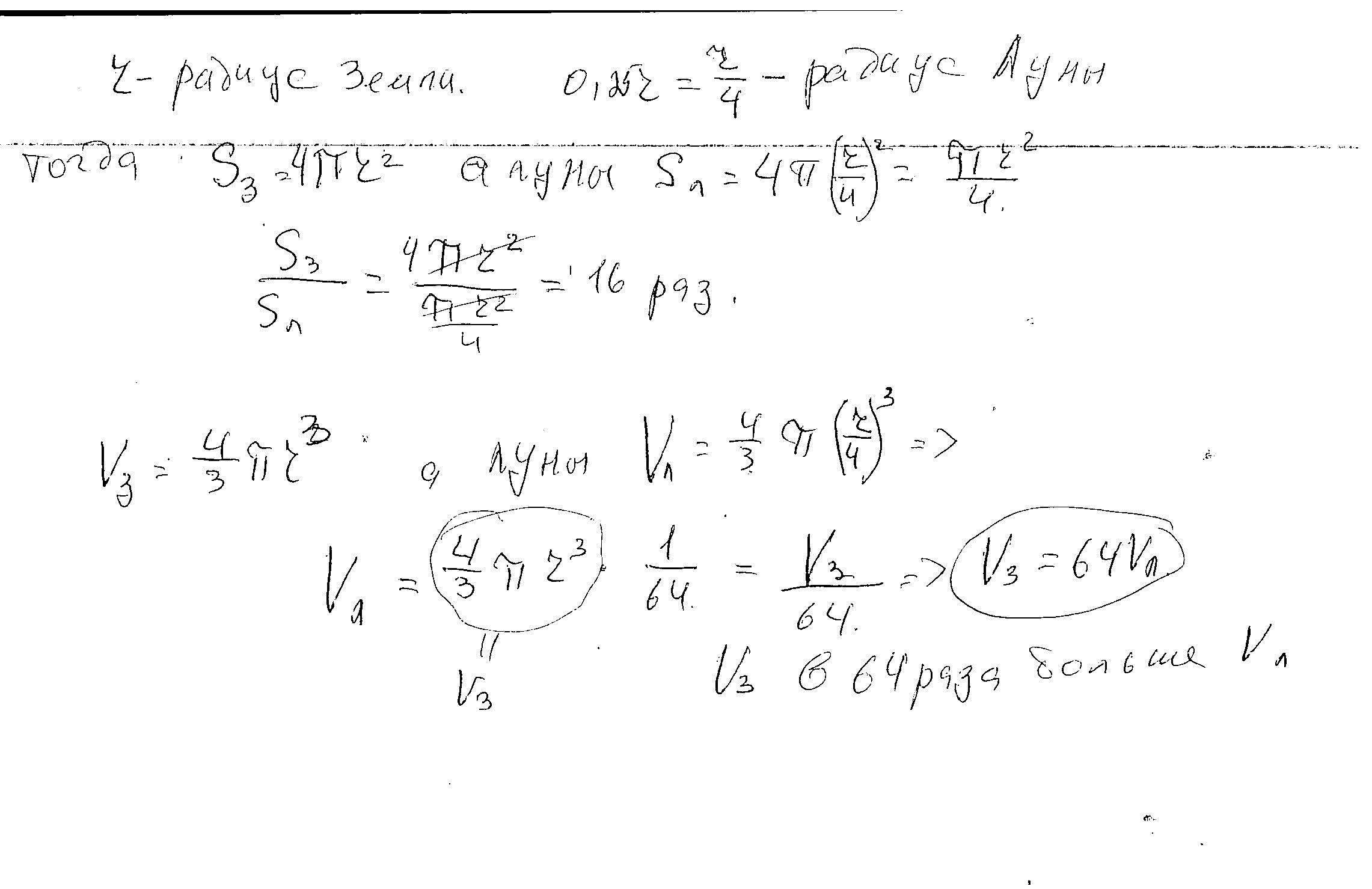
Ответ: в 16 раз и в 64 раз
Объяснение:
Можно получить решение без этих сложностей.
Земля и Луна подобные фигуры. коэффициент подобия 4:1.
Площади относятся как квадрат коэффициента подобия, то есть площадь Земли в 16 раз больше. Объемы относятся как куб коэффициента подобия. То есть объем Земли в 64 раза больше. Выбирайте способ.
Приложения:

Вас заинтересует
2 года назад
2 года назад
3 года назад
3 года назад
8 лет назад
8 лет назад
9 лет назад
9 лет назад