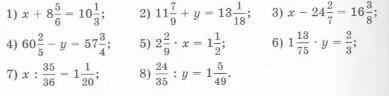
Пожалуйста Помогите Решить
Математика 5 класс
Если решите буду очень благодарна,заранее спасибо
Приложения:

Аноним:
скачай приложение photomath
Ответы
Ответ дал:
1
Ответ:
Пошаговое объяснение:
Приложения:

Вас заинтересует
2 года назад
2 года назад
3 года назад
3 года назад
8 лет назад
8 лет назад
9 лет назад