• Предмет: Математика
  • Автор: khristi2020
  • Вопрос задан 8 лет назад

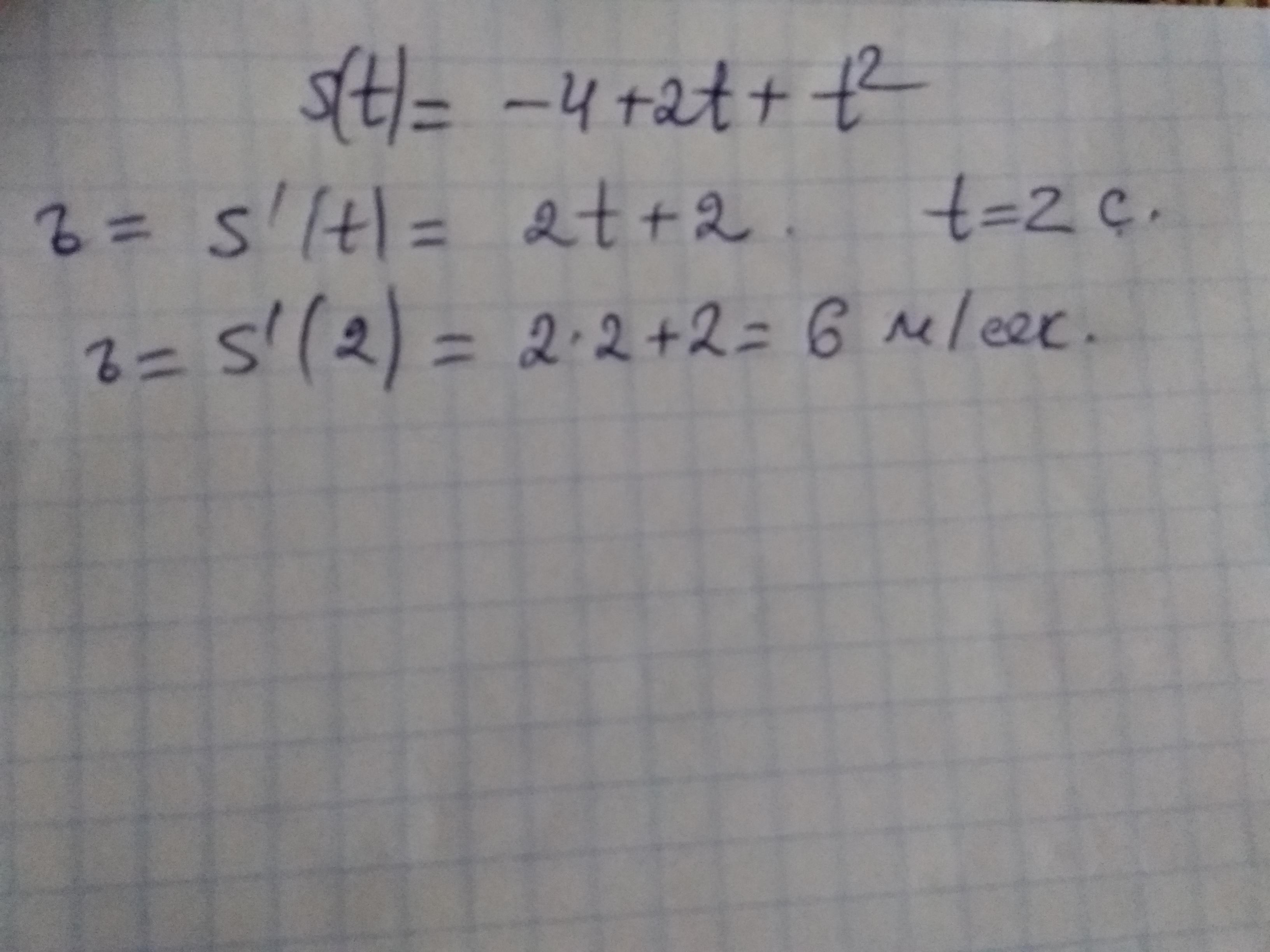
Тіло рухається прямолінійно за законом s(t)=-4 + 2t +t2 (ѕ вимірюєть-
ся в метрах, t — у секундах).
Знайдіть швидкість цього тіла в момент
часу t = 2 с.​

Ответы

Ответ дал: afet74
2

Ответ:

6 м/с

Пошаговое объяснение:

Приложения:
Вас заинтересует