• Предмет: Алгебра
  • Автор: myranyshanbayeva
  • Вопрос задан 8 лет назад

пожалуйста помогите очень нужно!!!!

Приложения:

Ответы

Ответ дал: bahytgulkabylainova
1

Ответ:

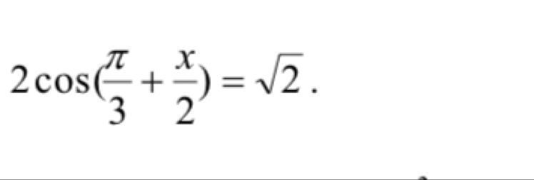
соs(pi/3+x/2)=\/2/2

pi/3+x/2=+-pi/4+2pin

x/2=+-pi/4-pi/3+2pin

x/2= +-(-pi/12)+2pin

x=+-(pi/6+pin n принадлежит Z


myranyshanbayeva: СПАСИБО))))
Ответ дал: Helper722
1

Ответ:

см фото

Объяснение:

Приложения:

myranyshanbayeva: спасибо большое
Helper722: Пожалуйста! :)
Вас заинтересует