• Предмет: Геометрия
  • Автор: mihailoerema
  • Вопрос задан 8 лет назад

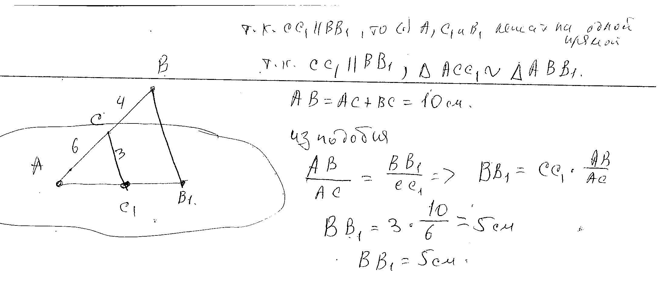
Через кінець А відрізка АВ проведену площину а. Через кінець В і точку С цього відрізка проведено паралельні прямі, які перетинають площину а в точках В1 і С1. Знайдіть довжину відрізка ВВ1, якщо АС = 6см, ВС = 4см, СС1 = 3см.
(МАЛЮНОК і РОЗВЯЗОК!!!!)

Ответы

Ответ дал: ужнеужели
2

Ответ:  ВВ1 = 5 см

Объяснение:

во вложении

Приложения:

Аноним: Добрый день!
Вам дан бан на 60 минут.
Причина: Спам.
Добавление вопросов и
ответов, не имеющих смысла
или отношения к заданному
вопросу или образованию,
так же, как и ответы типа: "я
не знаю", "посмотри в
интернете", "помоги решить"
- расцениваются как спам и
строго наказываются. При
этом баллы не
засчитываются, а при
выявлении нарушения
даются предупреждение и
бан.
Вас заинтересует