• Предмет: Алгебра
  • Автор: valensia55
  • Вопрос задан 8 лет назад

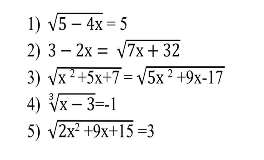
Решите иррациональные уравнения (на выбор, не меньше трёх примеров).

Приложения:

Ответы

Ответ дал: yaroslavcevoffice
1

Объяснение:

1)

 \sqrt{5 - 4x}  = 5 \\  \sqrt{5 - 4x}  {}^{2}   =  {5}^{2}  \\ 5 - 4x = 25 \\  - 4x = 25 - 5 \\  - 4x = 20 \\ x =  - 5

2)

3 - 2x =  \sqrt{7x + 32 }  \\ \sqrt{7x + 32}   {}^{2}  = (3 - 2x {)}^{2}  \\ 7x + 32 = 9  - 12x + 4 {x}^{2}  \\  - 4 {x}^{2}  + 19x + 23 = 0 \\ d = (19 {)}^{2}  - 4 \times ( - 4) \times 23 = 361 + 368 = 729 \\ x1 =  \frac{ - 19 - 27}{ - 8}  =  \frac{ - 46}{ - 8}  =  \frac{23}{4}  \\ x2 =  \frac{ - 19 + 27}{ - 8}  =  \frac{8}{ - 8}  =  - 1

окончательное решение -1

3)

 \sqrt{ {x}^{2}  + 5x + 7}  =  \sqrt{5 {x}^{2}  + 9x - 17}  \\  \sqrt{ {x}^{2}  + 5x + 7}  {}^{2}  =  \sqrt{5 {x}^{2} + 9x - 17 }  {}^{2}  \\  {x}^{2}  + 5x + 7 = 5 {x}^{2}  + 9x - 17 \\  - 4 {x}^{2}  - 4x + 24 = 0 \\ d = (4 {)}^{2}  - 4 \times ( - 4) \times 24 = 16 + 384 = 400 \\  \\ x1 =  \frac{4 + 20}{ - 8}  =  \frac{24}{ - 8}  =  - 3 \\  \\ x2 =  \frac{4 - 20}{ - 8}  =  \frac{ - 16}{ - 8}  = 2

ответ: х1 = -3 , х2 = 2

Вас заинтересует