Ответы
Ответ дал:
2
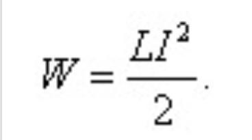
Если речь идет от катушке, то энергия магнитного поля считается по формуле:
Изображение:(ниже)
Из нее видно, что при увеличении силы тока в два раза, энергия увеличится в 4 раза (так как сила тока в квадрате)
Изображение:(ниже)
Из нее видно, что при увеличении силы тока в два раза, энергия увеличится в 4 раза (так как сила тока в квадрате)
Приложения:
nikko1010827:
Спасибо
Вас заинтересует
2 года назад
3 года назад
3 года назад
9 лет назад
9 лет назад