• Предмет: Геометрия
  • Автор: Aaaa123456ssss
  • Вопрос задан 8 лет назад

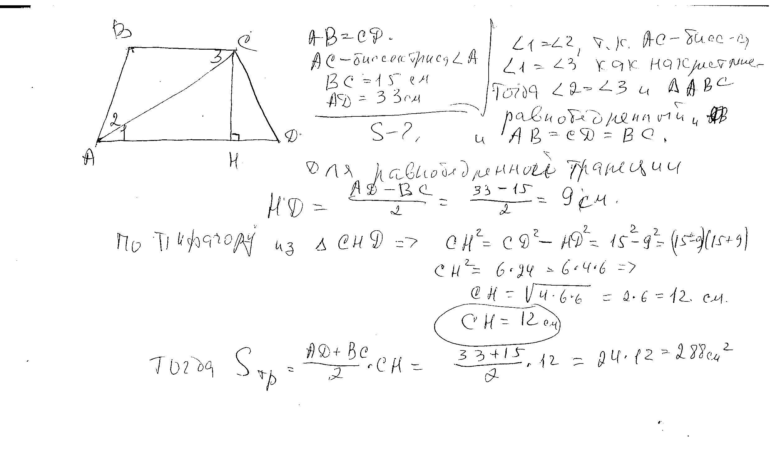
Основи рівнобедреної трапеції дорівнюють 15 см і 33см, а діагоналі є бісектрисами гострих кутів.Обчисліть площу трапеції

Ответы

Ответ дал: ужнеужели
2

Ответ: S=288 кв см

Объяснение:

во вложении

Приложения:
Вас заинтересует