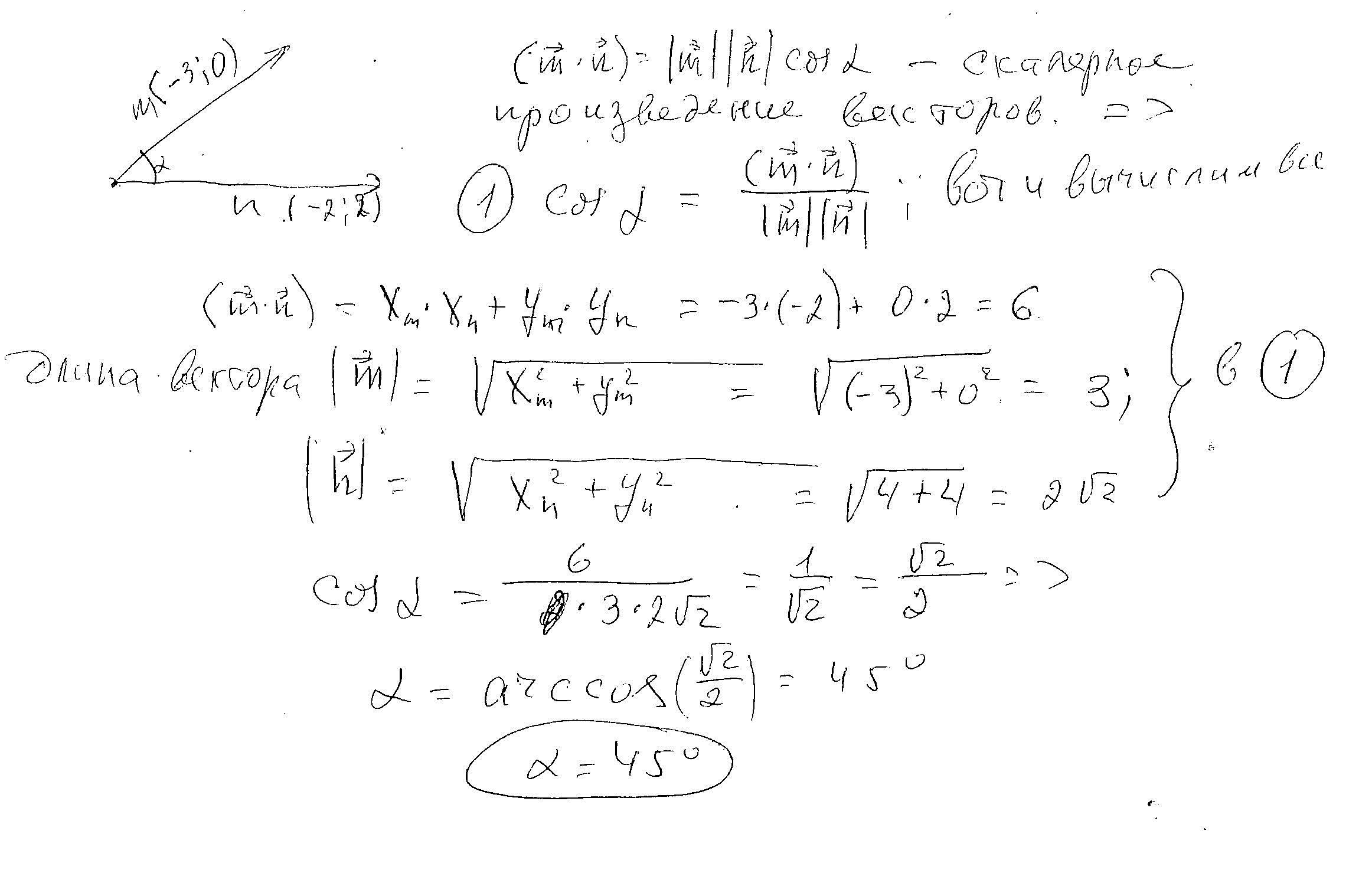
8. Дано вектори m (-3; 0) n(-2; 2). Знайдіть косинус кута між векторами m і n. Срочно прошу даю 30 баллов
Ответы
Ответ дал:
4
Ответ: 45 градусам
Объяснение:
во вложении
Приложения:

Вас заинтересует
2 года назад
3 года назад
3 года назад
8 лет назад
8 лет назад
9 лет назад