• Предмет: Математика
  • Автор: gunel20130613
  • Вопрос задан 8 лет назад

Помогите пожалуйста, очень срочнооо

Приложения:

Ответы

Ответ дал: xacku2020
1

Ответ:

20

Пошаговое объяснение:

неизвестный делитель = делимое : частное

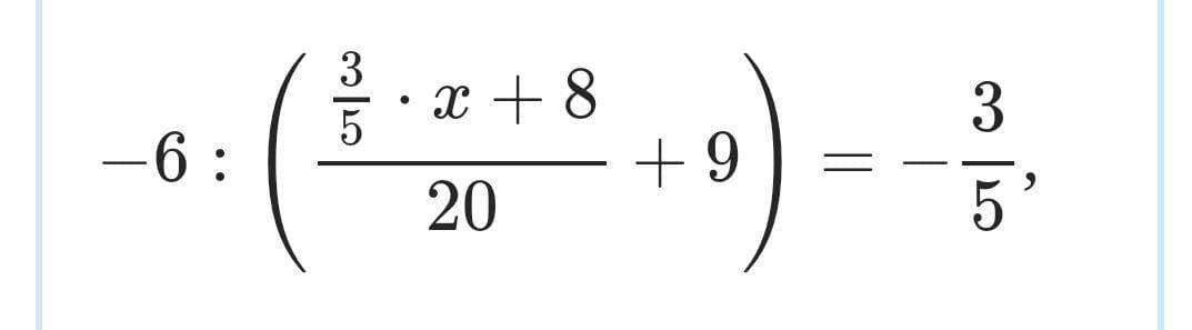
\frac{\frac{3}{5} x+8}{20} +9=-6 :(-\frac{3}{5})

\frac{\frac{3}{5} x+8}{20} +9=  -6*(-\frac{5}{3} )

\frac{\frac{3}{5} x+8}{20} +9=  10

\frac{\frac{3}{5} x+8}{20} =  10-9

\frac{3}{5} *x+8=1*20

\frac{3}{5} *x=12

x=12: \frac{3}{5}

x=12*\frac{5}{3} \\x=20

Ответ дал: Artsounds
1

Ответ:

 - 6 \div ( \frac{ \frac{3}{5} \times x + 8 }{20}  + 9) =  -  \frac{3}{5}  \\  \\   \frac{ \frac{3}{5}x + 8 }{20}  + 9 =  - 6 \div ( -  \frac{3}{5} ) \\  \\   \frac{ \frac{3x + 40}{5} }{20}  + 9 = 6 \div  \frac{3}{5}  \\  \\  \frac{3x + 40}{5 \times 20}  + 9 = 6 \times  \frac{5}{3}  \\  \\  \frac{3x + 40}{100}  + 9 = 2 \times 5 \\  \\   \frac{3x + 40}{100}  + 9 = 10 \\  \\  \frac{3x + 40}{100}  + 9 = 10 \:  \:   \: |  \times 100 \\  \\ 100 \times  \frac{3x + 40}{100}  + 100 \times 9 = 10 \times 100 \\  \\ 3x + 40 + 900 = 1000 \\ 3x + 940 = 1000 \\ 3x = 1000 - 940 \\ 3x = 60 \\ x = 60 \div 3 \\ x = 20

Вас заинтересует