• Предмет: Математика
  • Автор: ocicickckskkxxkdk
  • Вопрос задан 8 лет назад

УМОЛЯЮ, ПОМОГИТЕ! Решите, пожалуйста ​

Приложения:

Ответы

Ответ дал: bena20193
0

Ответ:

Пошаговое объяснение:

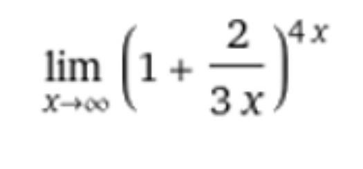
обозначим 2/3x=1/y тогда х=2у/3 ; 4x=8y/3=y(8/3)

lim(1+(2/3x))⁴ˣ=

x->

=lim(1+(1/y))^(y*8/3)=

y->∞

=lim[(1+(1/y))^y]^(8/3)=

y->∞

' по формуле первого замечательного пределе

'=lim[(1+(1/x))ˣ=e

' x->∞

=lim[(1+(1/y))^y]^(8/3)= e^(8/3)=∛(e⁸)

y->∞

Вас заинтересует