• Предмет: Алгебра
  • Автор: KiMum
  • Вопрос задан 8 лет назад

40 балов
Помните решить задания, срочно.
С решением

Приложения:

Ответы

Ответ дал: Enic2004
0
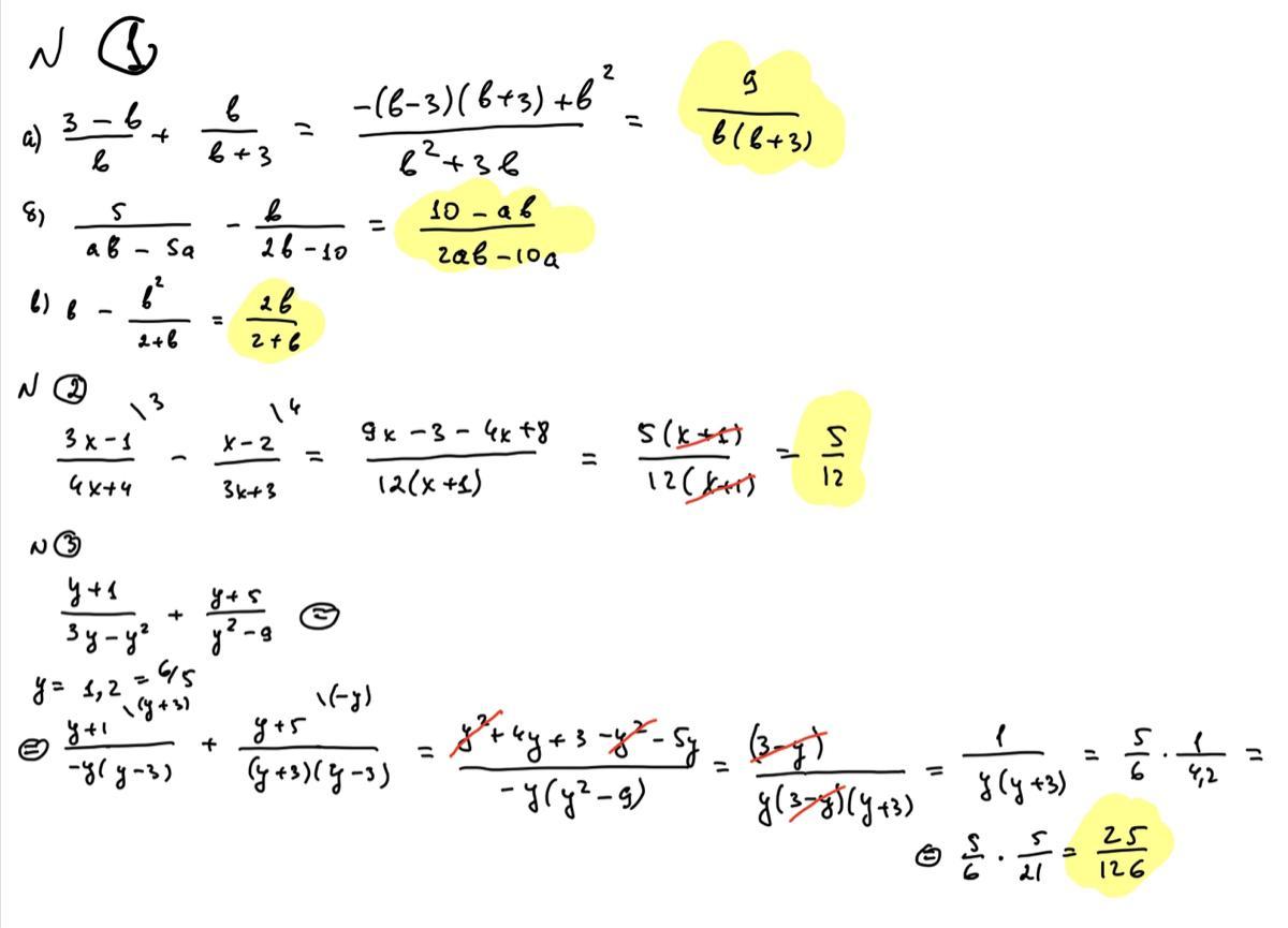
Вот держи. Выделенное желтым это ответы
Приложения:
Вас заинтересует