• Предмет: Математика
  • Автор: kaksjxjxjajsjd
  • Вопрос задан 8 лет назад

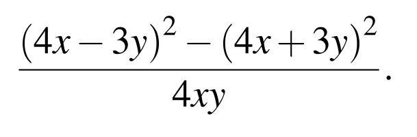
Найдите значение выражения.
Подробно , пожалуйста

Приложения:

Ответы

Ответ дал: galipro141
1

Ответ:

...............ответ 12

Приложения:

kaksjxjxjajsjd: А как получилось (-6y) *8x
Sanya2263: a²-b² = (a-b)(a+b)
kaksjxjxjajsjd: Спасибо
Вас заинтересует