• Предмет: Математика
  • Автор: lofiwok778
  • Вопрос задан 8 лет назад

Помогите найти производную функции, пожалуйста

Приложения:

Ответы

Ответ дал: bahytgulkabylainova
1

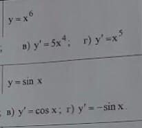
Ответ:

у=х^6

у'=6х^5

у=sinx

y'=cosx

Вас заинтересует