• Предмет: Математика
  • Автор: erzanemzarovic
  • Вопрос задан 8 лет назад

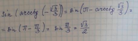
помогите не могу понять ಥ‿ಥ​

Приложения:

erzanemzarovic: там надо это как то вычислить
lenyashastin: sin (arcctg (-sqrt(3)/3))... ?
erzanemzarovic: да

Ответы

Ответ дал: bena20193
0

Ответ:

Пошаговое объяснение:

обозначим arctg(-(√3)/3)=a

tga=-(√3)/3 ;  по таблице значений тригонометрических функций a=-30°

sin(arctg(-(√3)/3))=sina=sin(-30°)=-1/2

Ответ дал: Helper722
0

Ответ:

\frac{\sqrt{3} }{2}

Пошаговое объяснение:

Приложения:
Вас заинтересует