Пожалуйста помогите решить Интегралы!
Приложения:

amanda2sempl:
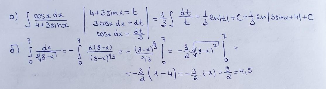
a) S cosxdx/(4+3sinx) = S dsinx/(4+3sinx) = 1/3 * S d(4+3sinx)/(4+3sinx) = 1/3 * ln(4+3sinx) + C
Ответы
Ответ дал:
0
Ответ:
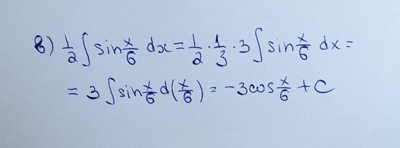
решение на фотографиях
Приложения:


Вас заинтересует
2 года назад
2 года назад
3 года назад
3 года назад
8 лет назад
8 лет назад
9 лет назад