• Предмет: Алгебра
  • Автор: dallex2011
  • Вопрос задан 8 лет назад

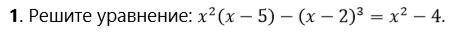
1. Решите уравнение:

Приложения:

Ответы

Ответ дал: Аноним
1

Объяснение:

x {}^{2} (x - 5) - (x - 2) {}^{3} = x {}^{2}   - 4 \\ x {}^{3}  - 5x {}^{2}  - x {}^{3}  + 6x {}^{2}  - 12x + 8 = x {}^{2}  - 4 \\  - 5x {}^{2}  + 6x {}^{2} - 12x  + 8 = x {}^{2}  -  4 \\ x {}^{2}  - 12x + 8 = x {}^{2}  - 4 \\  - 12x + 8 =   - 4 \\  - 12x  =  - 4 - 8 \\  - 12x =  - 12 \\ x = 1

Ответ дал: NNNLLL54
1

Ответ:

x^2(x-5)-(x-2)^3=x^2-4\\\\x^3-5x^2-(x^3-6x^2+12x-8)=x^2-4\\\\x^2-12x+8=x^2-4\\\\-12x=-12\\\\x=1

Вас заинтересует